Nông sản là các thực thể sinh học sống khi còn trên cây mẹ. Sau khi thu hoạch thì chúng vẫn sống, các phản ứng trao đổi chất vẫn xảy ra, quá trình sinh lý vẫn được duy trì như khi còn trên cây mẹ. Sau đây là một số biến đổi sinh lý, hóa sinh của nông sản sau thu hoạch.
Sự phát triển cá thể nông sản có thể chia làm 3 giai đoạn chính tính từ khi nó hình thành (hạt nảy mầm) là sinh trưởng, chín – thành thục và già hoá. Tuy nhiên, do nông sản rất đa dạng về chủng loại nên khó có thể phân chia rạch ròi các giai đoạn sinh lý này.

Tuổi thọ của nông sản là khoảng thời gian từ lúc thu hoạch đến khi nông sản mất giá trị sử dụng hoặc thương phẩm. Mỗi loại nông sản có vòng đời kết thúc khác nhau:
Trong bảo quản, điều kiện tối ưu (như nhiệt độ, độ ẩm, và thành phần khí) giúp kéo dài tuổi thọ nông sản, duy trì chất lượng cho đến khi sử dụng. Tuổi thọ dài có ý nghĩa lớn trong công tác sau thu hoạch, góp phần phục vụ nhu cầu nội địa, xuất khẩu, tái sản xuất, và làm tăng giá trị sản phẩm. Nó còn đóng vai trò quan trọng trong các chiến lược phát triển kinh tế của quốc gia.
Ví dụ, hạt có thể bảo quản lâu hơn nếu trong điều kiện khô và lạnh (độ ẩm dưới 10% cho hạt cây có dầu, dưới 14% cho hạt ngũ cốc, và nhiệt độ dưới 10°C). Ngược lại, rau quả cần độ ẩm cao hơn (80-90%) và lạnh để duy trì chất lượng tốt nhất.
Thông thường quả và hạt muốn đạt yêu cầu tiêu dùng hay nảy mầm được cần phải trải qua giai đoạn chín để hoàn thành nốt các quá trình sinh lý và các biến đổi sinh hoá cần thiết. Đặc biệt, chất lượng thương phẩm các loại quả phụ thuộc vào quá trình chín này.
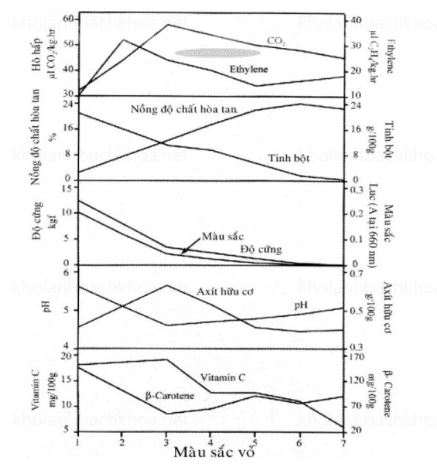
Đối với quả, quá trình chín là một sự thay đổi mạnh mẽ trong cả vòng đời, chuyển từ trạng thái thuần thục về sinh lý nhưng không ăn được sang trạng thái hấp dẫn về màu sắc, mùi và vị. Quá trình chín đánh dấu sự kết thúc pha phát triển quả và bắt đầu quá trình già hoá và thường là không đảo ngược được. Quá trình chín là hệ quả của một phức hợp các thay đổi, nhưng hoạt động sinh lý cơ bản của quá trình chín là sự thay đổi về cường độ hô hấp và sản sinh etylen.
Các thay đổi có thể xuất hiện trong quá trình chín của quá :

1. Xanh ; 2. Ngả vàng ; 3. Phớt hồng ; 4. Hồng ;
5. Phớt đỏ ; 6. Đỏ ; 7. Chín hoàn toàn
Các loại quả thường được thu hoạch sớm để thuận lợi cho quá trình vận chuyển, bảo quản. Bởi vậy, đa số các loại quả cần có giai đoạn chín tiếp hay chín sau (chín sau khi đã tách khỏi cây mẹ) để đảm bảo giá trị dinh dưỡng và cảm quan. Trước khi sử dụng, cần phải tiến hành dấm chín của quả bằng những cách sau:
Ở quà, sự già hoá bắt đầu khi quá trình chín kết thúc. Lúc này nông sản đã tiêu hao hết năng lượng dự trữ. Ở các nông sản như rau quả, thành phần xơ chiếm ưu thế, sắc tố suy giảm, các cơ quan rụng (cánh hoa, quả,…), nông sản khô héo, nhăn nheo không còn giá trị dinh dưỡng và thương phẩm. Ở các nông sản hạt, sự già hoá làm hạt mất sức nảy mầm, các chất dự trữ bị oxy hoá, hạt biến màu.
Ngủ nghỉ là trạng thái mà nông sản vẫn còn sức sống nhưng các hoạt động trao đổi chất hầu như không hoặc diễn ra một cách rất hạn chế. Nói cách khác, ngủ nghỉ là trạng thái phôi hạt hay mầm củ ở trạng thái ngừng sinh trưởng.
Nguyên nhân nội tại: Phôi hạt chưa hoàn thiện: Hạt tuy đã rời khỏi cây nhưng tổ chức phôi chưa phân hoá đầy đủ, hoặc đã đầy đủ nhưng chưa thành thục về phương diện sinh lý.
Ảnh hưởng của trạng thái, cấu trúc lớp vỏ hạt:
Các chất ức chế nảy mầm: Đó là những hợp chất được tạo ra hoặc vận chuyển đến hạt và củ, ức chế sự phát triển của phôi. Các hợp chất này thường được phát hiện ở phôi, nội nhũ hay vỏ hạt. Axit abscisic (ABA) được xác định là một hormon thực vật di cư chính sự nghỉ của hạt. Ở các loại hạt đã thành thục sinh lý, hàm lượng ABA ở các loại hạt đang ngủ nghỉ cao hơn trong các hạt không ở trạng thái ngủ nghỉ.
Nguyên nhân ngoại cảnh: Các điều kiện môi trường bên ngoài (nhiệt độ, độ ẩm, thành phần không khí, ánh sáng, v.v…) không thích hợp khiến cho hạt đã hoàn thiện, sẵn sàng nảy mầm mà vẫn trong trạng thái ngủ nghỉ.
Phản ứng ánh sáng: Nhiều loại hạt rất mẫn cảm với ánh sáng. Cơ chế điều chỉnh sự nghỉ của hạt bởi ánh sáng tương tự như các bộ phận khác của cây trồng (phụ thuộc cường độ và thời gian chiếu sáng). Tuy nhiên, các hạt mẫn cảm với ánh sáng chỉ phản ứng với ánh sáng khi đã hút ẩm, đồng thời chịu ánh hưởng kết hợp của cả tác nhân nhiệt độ.
Phản ứng nhiệt độ: Ngay sau khi tách ra khỏi vỏ hạt, phôi của một số loại hạt có thể phát triển ngay và nảy mầm, trong khi phôi hạt của loài khác vẫn ở trong trạng thái nghỉ hoặc phát triển rất yếu, sau đó thể hiện trạng thái ‘‘còi cọc sinh lý”, lóng thân không kéo dài, lá vàng và bị nhăn. Những triệu chứng này sẽ mất đi nếu hạt thoát ra khói trạng thái nghỉ, trong đó có biện pháp xử lý nhiệt độ thấp.
Có thể điều khiển sự ngủ nghỉ của hạt, củ bằng các biện pháp sau :
Xử lý hoá học: Đối với những loại hạt, củ thường nảy mầm trong thời gian bảo quản, có thể dùng hóa chất ức chế nảy mầm. Ví dụ : dùng Malein hydrazit (MH) kìm hãm sự nảy mầm, duy trì sự ngủ nghỉ của củ khoai tây. Khi đến thời vụ trồng trọt, có thể sử dụng gibercllin (GA) để kích thích nảy mầm, phá vỡ trạng thái ngủ nghỉ của hạt, củ.
Xử lý cơ giới: Dùng tác động cơ học làm tổn thương, cọ xát làm vỏ mỏng ra hay tách vỏ hạt để kích thích nảy mầm. Cắt miếng hoặc gây tổn thương vỏ củ, mắt củ cũng làm khoai tây dễ nảy mầm.
Xử lý phóng xạ: Dùng một số tia phóng xạ làm thay đổi trạng thái sinh lý, hoá sinh, kích hoạt hệ enzym, hay làm thay đổi trạng thái của lớp vỏ hạt làm cho hạt nhanh chóng vượt qua giai đoạn ngủ nghỉ.
Thay đổi các yếu tố vật lý môi trường (nhiệt độ, độ ẩm, không khí, ánh sáng): Các công nghệ bảo quản lạnh, điều chỉnh độ ẩm, điều chỉnh khí quyển, áp suất thấp v.v… phù hợp có thể duy trì sự ngủ nghỉ của nông sản trong thời gian bảo quản, đồng thời tạo điều kiện cho hạt, củ giống phát triển hoàn thiện. Khi cần xúc tiến nảy mầm thì xử lý ánh sáng, nhiệt độ thấp, tăng độ ẩm, không khí để cho hạt, củ nhanh chóng thoát khỏi trạng thái nghi.
Nảy mầm là quá trình sinh trưởng mới, trải qua bốn giai đoạn:
Trong quá trình này, các chất hữu cơ dự trữ bị phân giải để cung cấp năng lượng cho sự phát triển của tế bào, dẫn đến tổn thất đáng kể về khối lượng và chất lượng hạt, củ. Ngoài ra, hô hấp yếm khí và các sản phẩm phụ như aldehyde và alcohol cũng có thể làm thay đổi màu sắc, mùi vị của hạt. Hơi nước và nhiệt lượng phát sinh khi hô hấp còn làm tăng nhiệt độ và độ ẩm, tạo điều kiện cho vi sinh vật phát triển.
Nhiệt độ: Các loại hạt cần khoảng nhiệt độ 25-35°C để nảy mầm, nhưng có sự khác biệt theo từng loại, như hạt lúa cần 30-35°C, lạc 25-30°C, ngô 33-35°C, đậu tương chỉ cần 8-12°C.
Oxy: Điều kiện háo khí thúc đẩy nảy mầm tốt hơn so với điều kiện yếm khí.
Ánh sáng: Ánh sáng ảnh hưởng đến nảy mầm và sự phát triển của mầm, nên hạt cần bảo quản trong kho tối.
Thoát hơi nước là quá trình bốc hơi nước từ bề mặt lá và các bộ phận khác của cây vào không khí, được điều chỉnh bởi quy luật vật lý và trạng thái sinh lý của cây. Quá trình này diễn ra liên tục trong suốt vòng đời của cây và tiếp tục ngay cả sau khi cây đã được thu hoạch.
Thoát hơi nước là quá trình nước bay hơi từ bề mặt lá và các bộ phận khác của cây vào không khí. Đây là quá trình không ngừng nghỉ, diễn ra suốt đời sống của cây trồng và tiếp tục ngay cả sau khi thu hoạch. Thoát hơi nước không chỉ là một quá trình vật lý mà còn chịu ảnh hưởng bởi trạng thái sinh lý của cây và các yếu tố ngoại cảnh.
Bảng – Hệ số thoát hơi nước của một số loại rau quả
| Loại sản phẩm | Hệ số thoát hơi nước (mg/kg.giây/MPa) |
| Rau diếp | 7400 |
| Rau cải | 6150 |
| Củ cải vàng | 1930 |
| Cà rốt | 1207 |
| Tỏi | 790 |
| Đào | 572 |
| Bắp cải | 223 |
| Bưởi | 81 |
| Táo | 42 |
| Khoai tây | 25 |
Bảng – Giới hạn thoát hơi nước của một số loại rau
| Loại rau | Lượng nước bốc hơi tối đa |
| Măng tây | 8% |
| Đậu quả | 5% |
| Bắp cải | 7% |
| Cá rốt | 8% |
| Cần tây | 10% |
| Dưa chuột | 5% |
| Rau diếp | 3% |
| Khoai tây | 7% |
| Ớt xanh | 7 |
Giải pháp: Trong thực tế bảo quản, để hạn chế sự thoát hơi nước của nông sản, người ta thường áp dụng các biện pháp sau : hạ thấp nhiệt độ, tăng độ ẩm, giảm tốc độ chuyển động của không khí trong kho bảo quản. Đặc biệt, việc bao gói sản phẩm bằng các vật liệu phù hợp có thể giảm đáng kể sự mất nước.
Lưu ý: Cần phải lưu ý đặc điểm của từng nhóm nông sản (hạt, củ hay rau quả) để có chế độ bảo quản thích hợp, tránh hiện tượng mất nước quá nhiều hoặc đọng nước trên bề mặt nông sản đều không có lợi. Hiện tượng đọng nước nếu không được khắc phục kịp thời sẽ làm cho khối nông sản bị úng, ẩm ướt, tạo điều kiện cho vi sinh vật gây hại.
Hô hấp là một trong những quá trình sinh lý quan trọng nhất của cơ thể sống. Sau khi thu hoạch, nông sản tiếp tục hô hấp để duy trì sự sống, nhưng các chất hữu cơ đã tiêu hao không được bù đắp lại như khi còn ở trên cây nên chúng sẽ tồn tại cho đến khi nguồn dự trữ cạn kiệt.
Về bản chất, hô hấp là quá trình phân giải oxy hóa các vật chất của tế bào (tinh bột, đường, lipit, protein, axit hữu cơ v.v…) thành các chất có cấu tạo phân tử đơn giản hơn, đồng thời giải phóng năng lượng và các phân tử vật chất cần thiết cho các phản ứng tổng hợp của tế bào.
Sự hô hấp của nông sản có thể diễn ra với sự có mặt của oxy (hô hấp hào khí) hoặc thiếu oxy (hô hấp yếm khí).
Cường độ hô hấp là một chỉ tiêu quan trọng được dùng để đánh giá mức độ hô hấp của nông sản trong quá trình bảo quản. Cường độ hô hấp được xác định chủ yếu bằng lượng O2 hấp thu vào hoặc lượng CO2 tạo ra của 1 đơn vị khối lượng nông sản trong một đơn vị thời gian.
Cường độ hô hấp là một đại lượng không ổn định. Nó thay đổi phụ thuộc vào các yếu tố nội tại và ngoại cảnh.
Yếu tố nội tại
Cường độ hô hấp phụ thuộc trước tiên vào loại nông sản. Các loại nông sản khác nhau được cấu tạo từ các dạng mô khác nhau, nên hiển nhiên là mức độ hô hấp phải khác nhau. Tuổi của nông sản và tuổi mô cũng ảnh hưởng đáng kể đến cường độ hô hấp. Các mô non trong giai đoạn sinh trưởng, hô hấp có cường độ cao hơn. Tuổi càng tăng thì cường độ hô hấp càng giảm.
Bảng – Dạng, tuổi của mô và cường độ hô hấp của một số nông sản
Loại nông sản | Cường độ hô hấp |
Nụ hoa – Súp lơ | Cao |
Đỉnh sinh trưởng – măng tây | Cao |
Hạt đang phát triển – hạt đậu non, ngô ngọt | Cao |
Quả non – đậu bắp, bi non | Cao |
Quà xanh – dưa chuột | Trung bình |
Quà già – bí ngô | Thấp |
Bộ phận dự trữ – củ hành, khoai tây | Thấp |
Lá | Cao |
Yếu tố ngoại cảnh
Các rối loạn sinh lý trên nông sản khá đa dạng và trong nhiều trường hợp dễ nhầm với các rối loạn bệnh lý. Chúng có thể xuất hiện trên bề mặt nông sản cũng như trong ruột nông sản (thịt quả); có thể xuất hiện trong thời gian tồn trữ lạnh hay sau tồn trữ lạnh,.. Có một vài loại rối loạn sinh lý chủ yếu sau :
Rối loạn dinh dưỡng: Rối loạn này (thối cuống quả cà chua, cháy chóp lá xà lách,..,) bắt nguồn từ trước thu hoạch do sự mất cân đối một số chất khoáng (thiếu canxi) từ cây mẹ. Có thể phòng tránh rối loạn này bằng phun cho cây trồng trước thu hoạch hoặc nhúng nông sản với dung dịch có chứa những nguyên tố dinh dưỡng cần thiết.
Rối loạn hô hấp: Khí quyển bảo quản không thích hợp sẽ dẫn đến rối loạn hô hấp của nông sản. Hô hấp yếm khí sẽ gây triệu chứng thối đen ruột củ khoai tây hay táo có mùi rượu. Hàm lượng CO2 quá cao sẽ gây tổn thương cho một số loại rau trong bảo quản.
Tổn thương nhiệt: Tổn thương do nhiệt độ cao, tổn thương do nhiệt độ thấp (tổn thương lạnh) đều có thể gây ra sự trương nước, loạn hô hấp, vô hiệu hoá quá trình chín sau hoặc nâu hóa vỏ quả, tạo ra các vết lõm hay mảng biến màu trên vỏ nông sản.
Sự thoát hơi nước làm giảm khối lượng và gây héo nông sản, đặc biệt là rau quả, ảnh hưởng đến giá trị thương phẩm. Để giảm mất nước, rau quả nên được thu hoạch vào sáng sớm khi lượng nước cao và nhiệt độ thấp, sau đó bảo quản ở độ ẩm cao (80-95%) để duy trì độ tươi. Đối với hạt, điều kiện bảo quản cần kiểm soát độ ẩm dưới 70% để tránh nảy mầm và nấm mốc.
Trong quá trình chín, pectin trong vỏ quả bị thủy phân, làm mềm cấu trúc quả, tăng độ hấp dẫn thị giác và cảm giác khi ăn.
Sau thu hoạch, protein trong nông sản dần bị phân giải thành các hợp chất nitơ đơn giản hơn, làm giảm chất lượng dinh dưỡng.
Chất béo trong nông sản có thể bị phân giải do enzym hoặc oxy hóa, tạo ra mùi ôi khét, ảnh hưởng đến phẩm chất. Sự phân giải này đặc biệt mạnh đối với axit béo không no.
Etylen là chất bay hơi được tạo ra trong quá trình chín, có vai trò quan trọng trong việc kích thích chín đồng loạt ở các loại quả.
Màu sắc nông sản biến đổi do sự phân giải chlorophyl và sự xuất hiện của carotenoid hoặc anthocyanin, làm cho quả chuyển từ màu xanh sang đỏ, cam hoặc vàng khi chín. Đây là một dấu hiệu quan trọng để người tiêu dùng xác định độ chín và chất lượng của sản phẩm.