Cách tính toán cách nhiệt kho lạnh

Việc tính toán cách nhiệt kho lạnh cần được thực hiện một cách chính xác để đảm bảo hiệu quả bảo quản sản phẩm và tiết kiệm năng lượng.

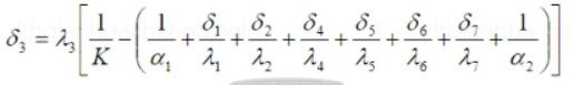
Tính chiều dày cách nhiệt

Kết cấu kho lạnh
Kết cấu kho lạnh

a) Tường bao: 1. Lớp vữa xi măng; 2. Tường gạch; 3. Lớp cách ẩm; 4. Lớp cách nhiệt; 5. Lớp vữa trát và lưới thép. h – Cấu trúc tường bao và mái kho lạnh
b) Mái: 1. Lớp phủ mái đồng thời là lớp cách ẩm; 2. Lớp bê tông giằng; 3. Lớp cách nhiệt điền đầy; 5. Các tấm bê tông cốt thép của mái; 4. Tấm cách nhiệt.

Cấu trúc xây tường ngoài của kho lạnh bao gồm: Lớp tường gạch dày 380mm hai mặt phủ bằng vữa xi măng dày 20mm. Lớp cách ẩm dầy 7mm gồm hai lớp bitum và 1 lớp giấy dầu. 

Lớp cách nhiệt là xốp polystirol và lớp trong cùng là lớp vữa trát xi măng có lưới thép dầy 20 mm. 

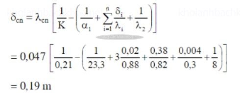
Hệ số truyền nhiệt của vách từ ngoài không khí vào buồng lạnh ở (-200C) là (Do bảo quản cá đã kết đông nên t = – 20 – 25) k = 0,21 W/m2. k và hệ số toả nhiệt α1 = 23,3 W/m2.k, α2 = 8 W/m2.k 

Hệ số dẫn nhiệt, dẫn ẩm của các vật liệu xây dựng và cách nhiệt như sau:

  • Lớp vữa xi măng: σ1 = 0,02 m; λ1= 0,88W/m.k; μ = 90 g/mh M Pa 
  • Lớp gạch đỏ σ2 = 0,38 m; λ2= 0,82W/m.k; μ= 105 g/mh M Pa
  • Lớp cách ẩm σ3 = 0,004 m; λ3= 0,3W/m.k; μ= 0,86 g/mh M Pa
  • Lớp xốp cách nhiệt xốp Polystrol: σ = 0,2; λ4 = 0,047 W/m.k; μ = 7,5 g/mh M Pa 
  • Chiều dày cách nhiệt cần thiết: 

Tính chiều dày cách nhiệt

Chiều dày cách nhiệt thực phải chọn lớn hơn hoặc bằng chiều dày đã xác định được. Ở đây chọn chiều dày tổng là 200 m với 4 lớp x 50 mm hoặc 2 lớp x 100 mm.

Tính cách nhiệt cho vách giữa 2 kho

Các số liệu tra và tính toán cho các lớp vật liệu của 2 vách giữa kho:

Vật liệuBề dày δ (m)Hệ số truyền nhiệt λ (w/mK)Hệ số thẩm thấu μ (g/m.h.mmHg/g)Nhiệt trở δ/λ (m2.K/w)
Trở lực thẩm thấu δ/μ (m2.h.mmHg/g)
Vữa0.020.880.0120.02271.6667
Lưới thép
Cách nhiệt (Stiropor)0.050.0350.0081.42866.25
Cách ẩm (polyetylen)0.0010.000000244166.6667
Cách ẩm (nhựa đường)0.0020.800.0001150.002517.3912
Vữa0.020.880.0120.02271.6667
Gạch0.200.820.0140.243914.2857
Vữa0.020.880.0120.02271.6667
Cách ẩm (nhựa đường)0.0020.800.0001150.002517.3912
Cách ẩm (polyetylen)0.0010.000000244166.6667
Cách nhiệt (Stiropor)0.050.0350.0081.42866.25
Lưới thép
Vữa0.020.880.0120.02271.6667
Cộng0.3863.19698401.5683

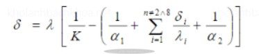
Bề dày lớp cách nhiệt được tính theo công thức:

Tính cách nhiệt cho vách giữa 2 kho 

Với:

  • α1 = 10 w/m2K : hệ số cấp nhiệt của không khí trong phòng 1 (đối lưu cưỡng bức)
  • α2 = 10 w/m2K : hệ số cấp nhiệt của không khí trong phòng 2 (đối lưu cưỡng bức)
  • δi : bề dày của vật liệu làm tường(bảng trên).
  • λi : hệ số truyền nhiệt của vật liệu làm tường(bảng trên).K = 0.58 w/m2
  • K : hệ số truyền nhiệt quy chuẩn giữa hai phòng có cùng nhiệt độ

=> Capture

=> chọn δ = 0.1 m(mỗi bên vách dày 0.05 m)

=> K = 0.0836 w/m2K

Nhiệt lượng truyền qua 1m2 bề mặt tường:

q = K(tng – ttr) = 0 w/m2 do tng = ttr = -20oC

Tính cách nhiệt cho nền

Bảng các số liệu tra và tính toán cho các lớp vật liệu làm nền kho:

Vật liệuBề dày δ (m)Hệ số truyền nhiệt λ (w/mK)Hệ số thẩm thấu μ (g/m.h.mmHg/g)Nhiệt trở δ/λ (m2.K/w)
Trở lực thẩm thấu δ/μ (m2.h.mmHg/g)
Bê tông xi0.100.50.2
Bê tông đất0.021.60.0125
Lưới thép
Cách nhiệt (Stiropor)0.200.0350.0085.714325
Cách ẩm (polyetylen)0.0010.000000244166.6667
Cách ẩm (nhựa đường)0.0020.800.0001150.002517.3912
Bê tông tấm0.1010.0040.125
Bê tông cốt thép0.151.50.0040.137.5
Cộng0.5736.12934271.5579

Bề dày lớp cách nhiệt được tính theo công thức:
Tính cách nhiệt cho nền

với:

  • α1 = 12 w/m2K : hệ số cấp nhiệt của không khí trên nền đất. 
  • α2 = 9 w/m2K : hệ số cấp nhiệt của không khí trong phòng (đối lưu cưỡng bức). 
  • δi : bề dày của vật liệu làm tường (bảng trên). 
  • λi : hệ số truyền nhiệt của vật liệu làm tường (bảng trên). 
  • K = 0.21 w/m2K : hệ số truyền nhiệt quy chuẩn của nền có sưởi. 

6

=> chọn δ3 = 0.2 m 

=> K = 0.1586 w/m2K

Tính cách nhiệt cho trần

Bảng các số liệu tra và tính toán cho các lớp vật liệu làm trần:

Vật liệuBề dày δ (m)Hệ số truyền nhiệt λ (w/mK)Hệ số thẩm thấu μ (g/m.h.mmHg/g)Nhiệt trở δ/λ (m2.K/w)
Trở lực thẩm thấu δ/μ (m2.h.mmHg/g)
Bê tông tấm0.1140.125
Cách ẩm (polyetylen)12441.666.667
Cách ẩm (nhựa đường)20.8011525173.912
Cách nhiệt (Stiropor)0.23585.714325
Bê tông cốt thép0.151.540.137.5
Vữa0.020.88122271.6667
Cộng0.473    5.9395 4273.2246  

Bề dày lớp cách nhiệt được tính theo công thức:

Tính cách nhiệt cho trần

với 

  • α1 = 23.3 w/m2K : hệ số cấp nhiệt của không khí bên ngoài (tường có chắn gió). 
  • α2 = 9 w/m2K : hệ số cấp nhiệt của không khí trong phòng (đối lưu cưỡng bức). 
  • δi : bề dày của vật liệu làm tường (bảng trên). 
  • λi : hệ số truyền nhiệt của vật liệu làm tường (bảng trên). 
  • K = 0.22 w/m2K : hệ số truyền nhiệt quy chuẩn. 

8

=> chọn δ4 = 0.2 m

=> K = 0.1642 w/m2K

Chia sẻ

Cách tính toán cách nhiệt kho lạnh

hoặc copy link

Mục lục

kho lạnh Bách Khoa Cảm ơn Quý khách đã quan tâm đến sản phẩm của chúng tôi. Đội ngũ tư vấn của công ty sẽ liên hệ đến Quý khách trong 24h tới

Thông tin liên hệ

Gửi