Tính nhiệt kho lạnh
Tính toán nhiệt kho lạnh là xác định năng suất lạnh của dàn lạnh cần lắp đặt. Nếu kho lạnh dùng máy lạnh cục bộ (mối buồng lạnh hoặc một cụm buồng lạnh có cùng nhiệt độ được bố trí một máy lạnh riêng) thì tính toán từng buồng lạnh để chọn máy và thiết bị phù hợp.
Nếu là kho lạnh có chung một hệ thống lạnh trung tâm thì phải tính toán tổn thất nhiệt cho toàn bộ kho lạnh để thiết kế hệ thống lạnh phù hợp.
Xác định dòng nhiệt tổn thất
Dòng nhiệt tổn thất vào kho lạnh Q được xác định bằng biểu thức:
Q = Q1 +Q2 + Q3 + Q4 + Q5, W
- Q1 – Dòng nhiệt đi qua kết cấu bao che
- Q2 – Dòng nhiệt do sản phẩm toả ra trong quá trình xử lí
- Q3 – Dòng nhiệt từ ngoài vào do thông gió phòng lạnh
- Q4 – Dòng nhiệt từ các nguồn khác nhau khi vận hành
- Q5 – Dòng nhiệt toả ra khi sản phẩm thở (chỉ có ở các loại rau, hoa quả, trứng…).
Dòng nhiệt tổn thất Q = ΣQi tại một thời điểm nhất định được gọi là phụ tải nhiệt của thiết bị lạnh. Đặc điểm của các dòng nhiệt là chúng thay đổi liên tục theo thời gian.
- Q1 – phụ thuộc chủ yếu vào nhiệt độ bên ngoài, thay đổi theo giờ trong ngày và theo mùa trong năm ;
- Q2 – phụ thuộc vào thời vụ ;
- Q3 – phụ thuộc vào loại hàng bảo quản. Các sản phẩm như thịt, bơ, sữa, cá không phải thông gió nhưng các sản phẩm thở như rau, hoa, quả, trứng phải thông gió để chúng thở;
- Q4 – phụ thuộc vào quy trình công nghệ chế biến và bảo quản ;
- Q5 – phụ thuộc vào biến đổi sinh hoá của sản phẩm thở.
Năng suất lạnh của hệ thống lạnh được thiết kế theo phụ tải nhiệt lớn nhất Qmax mà ta ghi nhận được ở một thời điểm nào đó trong cả năm.
Nhưng cần lưu ý rằng không phải Qmax bằng tổng của các phụ tải max thành phần vì các phụ tải max thành phần không trùng pha với nhau vào một thời điểm.
Hình 1 mô tả sơ đồ tính phụ tải cho máy nén, thí dụ, từ hai phụ tài thành phần:

Q = f(ζ) = QA + QB
Phụ tải nhiệt của máy nén bằng Q tại mỗi thời điểm ζ.
Cần phải chọn máy nén có năng suất lạnh bằng phụ tải nhiệt lớn nhất để đáp ứng mọi phụ tải ở bất kỳ thời điểm nào. Ở đây phải chọn QMN = (QA+QB)max. Không nên chọn tổng của nhiệt tải thành phần lớn nhất QAmax + QBmax, vì như vậy là quá dư thừa.
Trường hợp một máy lạnh phục vụ cho nhiều buồng thì có sự khác nhau giữa phụ tải của máy nén và phụ tải của thiết bị. Cũng dùng đồ thị hình 1 và giả sử QA là phụ tải nhiệt của buồng lạnh A và QB là của buồng B thì Trong khi phụ tải của máy nén (QA+QB)max, phụ tải của thiết bị (dàn bay hơi) buồng A là QAmax và buồng B là QBmax; tổng phụ tải thiết bị sẽ là QAmax + QBmax.
Tính toán các thành phần tải nhiệt
Dòng nhiệt qua kết cấu bao che Q1
Dòng nhiệt đi qua kết cấu bao che được định nghĩa là tổng các dòng nhiệt tổn thất qua tường bao, trần và nền do sự chênh lệch nhiệt độ giữa môi trường bên ngoài và bên trong kho lạnh cộng với các dòng nhiệt tổn thất do bức xạ mặt trời qua tường bao và trần.
Q1 = Q11 + Q12
- Q11 – dòng nhiệt qua tường bao, trần và nền do chênh lệch nhiệt độ;
- Q12 – dòng nhiệt qua tường bao và trần do ảnh hưởng của bức xạ mặt trời;
Q11 được xác định từ biểu thức: Q11 = kt.F(t1 – t2)
- kt – hệ số truyền nhiệt thực của kết cấu bao che xác định theo chiều dày cách nhiệt thực;
- F – diện tích bề mặt của kết cấu bao che, m²;
- t1 – nhiệt độ môi trường bên ngoài, °C.
- t2 – nhiệt độ trong buồng lạnh, °C.
Để tính toán diện tích bề mặt tường bao ngoài người ta sử dụng:
- Kích thước chiều dài tường ngoài: Đối với buồng ở cạnh kho lạnh lấy chiều dài từ giữa các trục tâm; đối với buồng góc kho: lấy chiều dài từ mép tường ngoài đến trục tâm tường ngăn.
- Kích thước chiều dài tường trong (tường ngăn): Từ bề mặt trong của tường ngoài đến tâm tường ngăn.
- Chiều cao tường: Từ mặt nền đến mặt trên của trần.
Diện tích của trần và của nền được xác định từ chiều dài và chiều rộng. Chiều dài và chiều rộng lấy từ tâm của các tường ngăn hoặc từ bề mặt trong của tường ngoài đến tâm của tường ngăn.
Nhiệt độ không khí bên trong buồng lạnh lấy theo yêu cầu của đầu bài, theo yêu cầu công nghệ.
Nhiệt độ bên ngoài là nhiệt độ trung bình cộng của nhiệt độ trung bình cực đại tháng nóng nhất và nhiệt độ cực đại ghi nhận được trong vòng 100 năm gần đây.
Đối với các tường ngăn mở ra hành lang buồng đệm… không cần xác định nhiệt độ bên ngoài.
Dòng nhiệt qua sàn lửng tính như dòng nhiệt qua vách ngoài.
Dòng nhiệt qua sàn bố trí trên nền đất có sưởi xác định theo biểu thức: Q11 = k1. F(tn – t2), W
tn – nhiệt độ trung bình của nền khi có sưởi.
Nếu nền không có sưởi, dòng nhiệt qua sàn có thể xác định theo biểu thức: Q11 = Σkq.F(t1 – t2).m
- kq – hệ số truyền nhiệt quy ước tương ứng với từng vùng nền;
- F – diện tích tương ứng với từng vùng nền:
- t1 – nhiệt độ môi trường bên ngoài, °C.
- t2 – nhiệt độ trong buồng lạnh, °C.
- m – hệ số tính đến sự gia tăng tương đối trở nhiệt của nền khi có lớp cách nhiệt.
Để tính toán dòng nhiệt vào qua sàn, người ta chia sàn ra các vùng khác nhau có chiều rộng 2m mỗi vùng tính từ bề mặt tường bao vào giữa buồng.
Giá trị của hệ số truyền nhiệt quy ước kq, W/m²K, lấy theo từng vùng là:
- Vùng rộng 2m dọc theo chu vi tường bao: kq = 0,47:
- Vùng rộng 2m tiếp theo về phía tâm buồng: kq = 0,23;
- Vùng rộng 2m tiếp theo: kq = 0,12;
- Vùng còn lại ở giữa buồng lạnh: kq =0,07.
Riêng diện tích của vùng một rộng 2 m cho góc của tường bao được tính hai lần, vì được coi là có dòng nhiệt đi vào từ hai phía: F = 2(a + b) trong đó a, b là hai cạnh của buồng lạnh.
Hệ số m đặc trưng cho sự tăng trở nhiệt của nền khi có lớp cách nhiệt:

- σ – chiều dày của từng lớp của kết cấu nền, m;
- λ – hệ số dẫn nhiệt của vật liệu, W/mK.
Nếu nền không có cách nhiệt thì m = 1.
Bề mặt tường ngoài của mái kho lạnh chịu ảnh hưởng trực tiếp của bức xạ mặt trời thì dòng nhiệt do bức xạ mặt trời được tính như sau:
Q12 = k1.F.Δt12
- k1 – hệ số truyền nhiệt thực của vách ngoài;
- F – diện tích nhận bức xạ trực tiếp của mặt trời;
- Δt12 – hiệu nhiệt độ dư, đặc trưng ảnh hưởng của bức xạ mặt trời vào mùa hè, °C.
Dòng nhiệt do bức xạ mặt trời phụ thuộc vào vị trí của kho lạnh nằm ở vĩ độ địa lý nào, hướng của các tường ngoài cũng như diện tích của nó.
Hiện nay chưa có những nghiên cứu về dòng nhiệt do bức xạ mặt trời đối với các buồng lạnh ở Việt nam, vĩ độ địa lý từ 10 đến 25 vĩ Bắc. Trong tính toán có thể lấy một số gia trị định hướng sau đây:
- Đối với trần: màu xám (bêtông, ximăng hoặc lớp phủ) lấy Δt12 = 19°C; màu sáng lấy 16°C.
- Đối với các tường: hiệu nhiệt độ dư lấy định hướng theo bảng 1.
Bảng 1 – Hiệu nhiệt độ dư phụ thuộc hướng và tính chất bề mặt tường
Hướng Vĩ độ Tường | Nam | Đông Nam | Tây Nam | Đông | Tây | Tây Bắc | Đông Bắc | Bắc | ||
| 10° | 20° | 30° | Từ 10° đến 30° | |||||||
| Bêtông | 0 | 2 | 4 | 10 | 11 | 11 | 13 | 7 | 6 | 0 |
| Vữa thẫm màu | 0 | 1,6 | 3,2 | 8 | 10 | 10 | 12 | 6 | 5 | 0 |
| Vôi trắng | 0 | 1,2 | 2,4 | 5 | 7 | 7 | 8 | 4 | 3 | 0 |
Với mỗi buồng lạnh, người ta chỉ tính dòng nhiệt do bức xạ mặt trời qua mái và qua một bức tường nào đó có tổn thất bức xạ lớn nhất (thí dụ có hiệu nhiệt độ dư lớn nhất (hướng Tây) hoặc có diện tích lớn nhất), bỏ qua các bề mặt tường còn lại.
Dòng nhiệt do sản phẩm toả ra Q2
Dòng nhiệt do sản phẩm toả ra khi xử lý lạnh (gia lạnh, kết đông, hạ nhiệt độ tiếp trong buồng bảo quản đông) được tính theo biểu thức:

- h1, h2 – entanpi của sản phẩm trước và sau khi xử lý lạnh, kJ/kg
- M – công suất buồng gia lạnh, công suất buồng kết đông hoặc lượng hàng nhập vào buồng bảo quản lạnh hoặc buồng bảo quản đông. t/ngày đêm;
- 1000: (24.3600) hệ số chuyển đổi từ t/ngày đêm ra đơn vị kg/s
- Q2 – Dòng nhiệt do sản phẩm toả ra, kW.
Khối lượng hàng nhập vào buồng bảo quản lạnh trong một ngày đêm, khi tính phụ tải nhiệt cho máy nén:

- M1 – khối lượng hàng nhập vào buồng bảo quản lạnh, t/24h.
- E1 – dung tích buồng bảo quản lạnh, t
- m – hệ số nhập hàng không đồng đều (đối với kho lạnh phân phối m = 1,5);
- 365 – số ngày kho lạnh nhập hàng trong một năm ;
- B – hệ số quay vòng hàng, đối với kho lạnh phân phối B = 5 – 6 lần/năm.
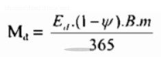
Khối lượng hàng nhập vào buồng bảo quản đông trong một ngày đêm dùng để xác định phụ tải nhiệt cho máy nén:

- Mđ – khối lượng hàng nhập vào buồng bảo quản đông, t/24h;
- E – dung tích buồng bảo quản đông;
- ψ – tỉ lệ nhập hàng có nhiệt độ không cao hơn – 80C, đưa trực tiếp vào buồng bảo quản đồng. Trong thời gian bảo quản lượng hàng này sẽ được hạ nhiệt độ đến nhiệt độ buồng.
Đối với kho lạnh phân phối:
- ψ = 0,65 – 0,85
- m = 2,5; B = 5 – 6 lần/năm.
Khối lượng hàng nhập vào buồng kết đông trong một ngày đêm được theo biểu thức:

(1- ψ) – tỉ lệ hàng có nhiệt độ cao hơn – 8°C, được đưa vào buồng kết đông trước khi đưa sang buồng bảo quản.
Khi tính Q2 cho phụ tải thiết bị, lấy khối lượng hàng nhập trong một ngày đêm vào buồng bảo quản lạnh và buồng bảo quản đông bằng 8% dung tích buồng nếu dung tích buồng nhỏ hơn 200t và bằng 6% nếu dung tích xuống lớn hơn 200t.
Vì hoa quả có thời vụ, nên đối với kho lạnh xử lý và bảo quản hoa quả, khối lượng hàng nhập vào trong một ngày đêm tính theo biểu thức:
M = (E.B.m)/120
- M – lượng hàng nhập vào trong một ngày đêm, t/24h;
- E – dung tích kho lạnh;
- B – hệ số quay vòng hàng, B = 8 – 10;
- m – hệ số nhập hàng không đồng đều, m = 2 – 2,5
- 120 – số ngày nhập hàng trong một năm.
Đối với kho lạnh của nhà máy liên hợp thịt, khối lượng hàng nhập vào kho lạnh trong một ngày đêm bằng công suất của nhà máy liên hợp.
Để xác định được entanpi của sản phẩm trước và sau khi xử lý lạnh cần phải biết được nhiệt độ cụ thể hoặc nhiệt độ trung bình của sản phẩm trước và sau khi xử lý lạnh.
Nhiệt độ của sản phẩm vào kho lạnh phụ thuộc vào loại kho lạnh, đặc tính của sản phẩm cũng như quá trình xử lý lạnh. Thí dụ, hàng nhập vào kho lạnh chế biến và bảo quản tạm thời cao hơn nhiệt độ của hàng nhập vào kho lạnh phân phối hoặc thương nghiệp…
Đối với kho lạnh phân phối, nhiệt độ hàng nhập vào lấy bằng 5 – 60C. Các sản phẩm này được làm lạnh tiếp ngay trong buồng bảo quản. Nếu kho lạnh có buồng gia lạnh sơ bộ thì sản phẩm được làm lạnh sơ bộ xuống đến nhiệt độ bảo quản ở phòng gia lạnh sơ bộ và dòng nhiệt Q2 không tính cho buồng bảo quản lạnh. Nhiệt độ của sản phẩm chưa được làm lạnh sơ bộ khi nhập vào kho lạnh bằng nhiệt độ 5 – 8°C thấp hơn nhiệt độ không khí môi trường.
Các sản phẩm lạnh đông, bị nóng lên hơn – 8°C trên đường vận chuyển (khoảng 15 – 35% tổng khối lượng nhập vào kho lạnh) sẽ được chuyển vào buồng kết đông. Ở buồng kết đông nhiệt độ của chúng được hạ xuống đến nhiệt độ bảo quản – 20°C.
Số sản phẩm có nhiệt độ thấp hơn – 8°C (65 – 85% khối lượng hàng nhập vào kho) sẽ được đưa thẳng vào buồng bảo quản đông, ở đây các hàng này sẽ được hạ nhiệt độ xuống đến nhiệt độ bảo quản – 20°C. Bởi vậy, nhiệt độ của hàng nhập vào buồng kết đông lấy là – 6°C và hàng nhập vào buồng bảo quản đồng lấy từ – 8°C đến – 10°C.
Nhiệt độ sản phẩm xuất ra lấy bằng nhiệt độ buồng lạnh nếu thời gian bảo quản đủ dài (từ 4 đến 5 ngày trở lên). Nhiệt độ buồng bảo quản lạnh lấy là 0°C và nhiệt độ buồng bảo quản đông lấy – 20°C.
Hàng thực phẩm nhập vào một số kho lạnh thương nghiệp nhỏ có nhiệt độ từ – 12 đến – 15°C.
Lượng hàng xuất ra khỏi kho lạnh không cần để tính phụ tải nhiệt mà để tính công suất của các phương tiện vận tải.
M = (E.B.m)/265 , (t/ngày)
265 – số ngày xuất hàng trong một năm.
Khi tính toán dòng nhiệt do sản phẩm toả ra, cần phải lưu ý một điều là rất nhiều sản phẩm được bảo quản trong bao bì, do đó phải tính cả tải nhiệt do bao bì toả ra khi làm lạnh sản phẩm.
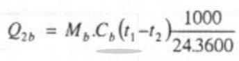
Dòng nhiệt toả ra từ bao bì:

- Mb – khối lượng bao bì đưa vào cùng sản phẩm, t/ngày đêm;
- Cb – nhiệt dung riêng của bao bì;
- 1000: (24.3600) = 0,0116 – hệ số chuyển đổi từ t/24h sang kg/s;
- T1 và t2 – nhiệt độ trước và sau khi làm lạnh của bao bì, °C.
Khối lượng bao bì chiếm tới 10 – 30% khối lượng hàng, đặc biệt bao bì thuỷ tinh chiếm tới 100%. Bao bì gỗ chiếm 20% khối lượng hoa quả (cứ 100kg hoa quả cần 20kg bao bì gỗ).
Nhiệt dung riêng của bao bì lấy như sau:
- bao bì gỗ 2,5 kJ/kgK;
- bìa carton 1,46 kJ/kgK;
- kim loại 0,45 kJ/kgK;
- thuỷ tinh 0,835 kJ/kgK.
Trong các kho lạnh thương nghiệp và đời sống, sản phẩm chỉ được làm lạnh, do đó dòng nhiệt Q2 có thể tính toán theo biểu thức:
Q2 = 0,0116 (M.C+ Mb.Cb).(t1 – t2)
- M – khối lượng hàng nhập kho, t/24h
- C – nhiệt dung riêng của hàng;
- Mb và Cb – khối lượng và nhiệt dung riêng bao bì;
- 0,0116 – hệ số chuyển đổi từ t/ngày đêm ra kg/s.
Khối lượng hàng M nhập vào kho lạnh thương nghiệp và đời sống phụ thuộc vào số ngày bảo quản trong kho. Nếu bảo quản 1 – 2 ngày lấy M = E dung tích của kho, bảo quản 3 – 4 ngày M = 50% E và nếu bảo quản từ 5 ngày trở lên M = 30% E.
Nhiệt độ t1 lấy bằng 5 – 8°C. Nhiệt độ t2 lấy bằng nhiệt độ bảo quản của buồng. Trong trường hợp quãng đường vận chuyển xa, nhiệt độ sản phẩm tăng nhiều hơn, hoặc sản phẩm chưa được gia lạnh thì phải lấy nhiệt độ tương ứng khi nhập vào kho.
Bảng 2 – Nhiệt dung riêng của một số sản phẩm
| Sản phẩm | C, kJ/kgK | Sản phẩm | C, kJ/kgK |
| Thịt bò | 3,44 | Sữa | 3,94 |
| Thịt lợn | 2,98 | Váng sữa | 3,86 |
| Thịt cừu | 2,89 | Kem sữa chua | 3,02 |
| Cá gầy | 3,62 | Pho mat | 2,10 – 2,52 |
| Cá béo | 2,94 | Trứng | 3,35 |
| Hàng thực phẩm | 2,94 – 3,35 | Rau quả | 3,44 – 3,94 |
| Dổu dộng vật | 2,68 | Bia, nước quả | 3,94 |
Dòng nhiệt do thông gió buồng lạnh Q3
Dòng nhiệt tổn thất do thông gió buồng lạnh chỉ tính toán cho các buồng lạnh đặc biệt bảo quản rau hoa quả và các sản phẩm hô hấp. Dòng nhiệt chủ yếu do không khí nóng ở bên ngoài đưa vào buồng lạnh thay thế cho không khí lạnh trong buồng để đảm bảo sự hô hấp của các sản phẩm bảo quản.
Dòng nhiệt Q3 được xác định qua biểu thức:
Q3 = Mk (h1– h2)
- Mk – lưu lượng không khí của quạt thông gió, m³/s;
- h1 và h2 – entanpi của không khí ở ngoài và ở trong buồng, kJ/kg; xác định trên đồ thị h-x theo t và φ tương ứng.
Lưu lượng quạt thông gió Mk có thể xác định theo biểu thức:

- V – thể tích buồng bảo quản cần thông gió, m³;
- α – bội số tuần hoàn hay số lần thay đổi không khí trong một ngày đêm, lần/24h;
- ρk – khối lượng riêng của không khí ở nhiệt độ và độ ẩm tương đối của không khí trong buồng bảo quản.
Trong các kho lạnh thương nghiệp và đời sống, các buồng bảo quản rau hoa quả và phế phẩm được thông gió. Các buồng bảo quản hoa quả trang bị quạt thông gió hai chiều đảm bảo bội số tuần hoàn bốn lần thể tích buồng trong 24h.
Các buồng bảo quản phế phẩm dùng quạt thổi ra đảm bảo bội số tuần hoàn 10 lần thể tích buồng trong 1h.
Các dòng nhiệt do vận hành Q4
Các dòng nhiệt do vận hành Q4, gồm các dòng nhiệt do đèn chiếu sáng Q41, do người làm việc trong các buồng Q42, do các động cơ điện Q43, và do mở cửa Q44. Các dòng nhiệt do vận hành được tính riêng. Tổng của chúng sẽ được tính vào phụ tải nhiệt của máy nén và thiết bị.
Dòng nhiệt do chiếu sáng buồng Q41
Q41 được tính theo biểu thức: Q41 = A.F
- F – diện tích của buồng, m²;
- A – nhiệt lượng tỏa ra khi chiếu sáng 1m² diện tích buồng hay diện tích nền, W/m²; đối với buồng bảo quản A = 1,2 W/m²; đối với buồng chế biến A = 4,5 W/m².
Dòng nhiệt do người toả ra Q42
Dòng nhiệt người tỏa ra xác định theo biểu thức: Q42 = 350n, W
- n – số người làm việc trong buồng;
- 350 – nhiệt lượng do một người thải ra khi làm công việc nặng nhọc, 350/W người.
Số người làm việc trong buồng phụ thuộc vào công nghệ gia công, chế biển, vận chuyển, bốc xếp. Nếu không có số liệu cụ thể có thể lấy các số liệu định hướng sau đây theo diện tích buồng. Nếu buồng nhỏ hơn 200m², n = 2 – 3 người, nếu buồng lớn hơn 200m², n = 3 – 4 người.
Dòng nhiệt do các động cơ điện Q43
Dòng nhiệt do các động cơ điện làm việc trong buồng lạnh (động cơ quạt dàn lạnh, động cơ quạt thông gió, động cơ các máy móc gia công chế biến, xe nâng vận chuyển…) có thể xác định theo biểu thức:
Q43= 1000N, W
- N – công suất của động cơ điện, kW;
- 1000 – hệ số chuyển đổi từ kW ra W.
Tổng công suất của động cơ điện lắp đặt trong buồng lạnh lấy theo thực tế thiết kế. Nếu không có các số liệu trên có thể lấy giá trị định hướng sau đây:
- buồng bảo quản lạnh N = 1 – 4 kW;
- buồng gia lạnh N = 3 – 8 kW;
- buồng kết đông N = 8 – 16 kW.
Buồng có diện tích nhỏ lấy giá trị nhỏ và buồng có diện tích lớn lấy giá trị lớn.
Khi bố trí động cơ ngoài buồng lạnh (quạt thông gió, quạt dàn lạnh đặt. ở ngoài có ống gió…) tính theo biểu thức:
Q43 = 1000. N. η
η – hiệu suất động cơ.
Dòng nhiệt khi mở cửa Q44
Để tính toán dòng nhiệt khi mở cửa, sử dụng biểu thức:
Q44 = B. F
- B – dòng nhiệt riêng khi mở cửa, W/m²;
- F – diện tích buồng, m².
Dòng nhiệt riêng khi mở cửa phụ thuộc vào diện tích buồng và chiều cao buồng 6m lấy theo bảng 3.
| Tên buồng | B, w/m2 đối với F, m2 | ||
| đến 50m2 | 50 – 150m2 | > 150m2 | |
| Gia lạnh, trữ lạnh và bảo quản cá | 23 | 12 | 10 |
| Bảo quản lạnh | 29 | 15 | 12 |
| Kết đông | 32 | 15 | 12 |
| Bảo quản đông | 22 | 12 | 8 |
| Xuất nhập | 78 | 32 | 20 |
Dòng nhiệt B ở bảng 3 cho buồng có chiều cao 6 m. Nếu chiều cao buồng khác đi, B cũng phải lấy khác đi cho phù hợp.
Dòng nhiệt vận hành Q4 là tổng các dòng nhiệt vận hành thành phần:
Q4 = Q41 + Q42 + Q43 + Q44
Đối với các kho lạnh thương nghiệp và đời sống, dòng nhiệt vận hành Q4, có thể lấy như sau:
- Đối với các buồng bảo quản thịt, gia cầm, đồ ăn chín, mỡ, sữa, rau quả, cá, đồ uống, phế phẩm thực phẩm lấy 11,6 W/m²;
- Đối với các buồng bảo quản thức ăn chế biến sẵn, đồ ăn, bánh kẹo là 29 W/m².
Trong một số trường hợp, đối với các kho lạnh thương nghiệp và đời sống người ta tính gần đúng dòng nhiệt vận hành bằng 10 – 40% dòng nhiệt mua kết cấu bao che Q1 và dòng nhiệt do thông gió Q3.
Q4 = (0,1 – 0,4) (Q1 + Q3).
Dòng nhiệt do hoa quả hô hấp Q5
Dòng nhiệt Q5 chỉ xuất hiện ở các kho lạnh bảo quản hoa rau quả hô hấp đang trong quá trình sống, dòng nhiệt Q5 xác định theo biểu thức:
Q5 = E(0,1 qn + 0,9 qbq),
- E – dung tích kho lạnh, t ;
- qn và qbq – dòng nhiệt toả ra khi nhập sản phẩm vào kho lạnh với nhiệt độ ban đầu và sau đó hạ xuống nhiệt độ bảo quản, w/t.
Xác định tải nhiệt cho thiết bị và cho máy nén
Tải nhiệt cho thiết bị dùng để tính toán diện tích bề mặt trao đổi nhiệt cần thiết cho thiết bị bay hơi (dàn tường, dàn trần không khí đối lưu tự nhiên, dàn quạt đối lưu cưỡng bức hoặc dàn lạnh nước muối).
Để đảm bảo được nhiệt độ trong buồng ở những điều kiện bất lợi nhất, người ta phải tính toán tải nhiệt cho thiết bị là tổng các tải nhiệt thành phần có giá trị cao nhất.
Q = Q1 +Q2 + Q3 + Q4 + Q5, W
Tất nhiên, Q3 và Q5 chỉ xuất hiện ở các kho lạnh bảo quản rau quả hoặc đối với các buồng bảo quản rau quả trong kho lạnh phân phối.
Tải nhiệt của máy nén cũng được tính toán từ tất cả các tải nhiệt thành phần nhưng tuỳ theo từng loại kho lạnh có thể chỉ lấy một phần tổng của tải nhiệt đó. Toàn bộ dòng nhiệt qua cấu trúc bao che Q1 của kho lạnh phân phối và kho lạnh bảo quản được tính cho nhiệt tải máy nén.
Đối với kho lạnh của nhà máy liên hợp thịt và cá, theo “Quy chuẩn thiết kế công nghệ kho lạnh” của Nga thì nhiệt tải cho máy nén chỉ lấy 80% Q1max cho các kho lạnh nhiệt độ – 20°C và 60% Q1max cho kho lạnh có nhiệt độ 0°C.
Đối với kho lạnh công nghiệp cá, các số liệu thực tế đã cho không khác nhiều với những số liệu định hướng của “Tiêu chuẩn thiết kế công nghệ kho lạnh”. Tải nhiệt máy nén tính với 100% giá trị lớn nhất Q1 đối với kho lạnh trung chuyển ở cảng và tính với 85% Q1max đối với kho lạnh chế biến.
Trong giáo trình này, chúng ta chỉ lấy các giá trị định hướng theo “Tiêu chuẩn thiết kế công nghệ kho lạnh” của Nga để dễ theo dõi các thí dụ tính toán.
Nhiệt tải cho máy nén lấy 100% Q2 đã tính toán được đối với các kho lạnh thịt và cá.
Đối với kho lạnh bảo quản hoa quả thì tải nhiệt chủ yếu rơi vào thời gian thu hoạch, còn thời gian bảo quản có thể coi Q2 = 0. Dòng nhiệt Q3 và Q5 đặc trưng cho quá trình bảo quản lạnh các sản phẩm “hô hấp” được tính đầy đủ cho tải nhiệt của máy nén.
Nhiệt tải của máy nén từ dòng nhiệt do vận hành được tính bằng 50 – 75% giá trị lớn nhất.
Với những giá trị định hướng về tải nhiệt của máy nén từ các dòng nhiệt thành phần như vậy, ta có thể ghi vào bảng tổng hợp nhiệt tải máy nén cho từng cụm buồng có nhiệt độ giống nhau.
Khi xác định năng suất lạnh của máy nén cần phải tính đến thời gian làm việc của thiết bị và các tổn thất trong các thiết bị, đường ống của hệ thống lạnh, do hiệu nhiệt độ thực tế giữa buồng lạnh và nhiệt độ sôi của mối chất hoặc giữa nhiệt độ buồng lạnh và nước muối.
Năng suất lạnh của máy nén đối với mỗi nhóm buồng có nhiệt độ sôi giống nhau xác định theo biểu thức:

- k – Hệ số lạnh tính đến tổn thất trên đường ống và thiết bị
- b – hệ số thời gian làm việc;
- ΣQMN – tổng nhiệt tải của máy nén đối với một nhiệt độ bay hơi
Để ước đoán năng suất lạnh cần thiết để chọn máy nén có thể sử dụng một vài giá trị định hướng sau đây:
- Để sản xuất một kg nước đá cần 650 kJ/kg;
- Tủ lạnh có nhiệt độ trong tủ là 5°C cần 260 W/1m³;
- Quầy hàng thương nghiệp 220 W/m chiều dài quầy;
- Tủ kính lạnh thương nghiệp 170 W/m chiều dài quầy;
- Kho lạnh nhỏ dưới tầng hầm 100 – 110 W/m² diện tích kho;
- Kho lạnh nhỏ thương nghiệp và đời sống trên mặt đất 120 – 130 W/m³ diện tích kho;
- Buồng bảo quản lạnh của các kho lạnh lớn 110 W/m²;
- Buồng bảo quản đông kho lạnh lớn 170 W/m²;
- Buồng kết đông 660 W/m²;
- Buồng bảo quản đông có kết đông bổ sung 270 W/m².
*Nguồn tham khảo: Hướng dẫn thiết kế hệ thống lạnh – Nguyễn Đức Lợi







