Tính số lượng & kích thước buồng lạnh
Dung tích kho lạnh là đại lượng cơ bản cần biết để xác định số lượng và kích thước các buồng lạnh. Ta đã biết dung tích của kho lạnh là khối lượng hàng hoá lớn nhất có thể đồng thời bảo quản trong kho, đơn vị là tấn. Ngoài ra số lượng và kích thước các buồng lạnh phụ thuộc vào loại hàng được bảo quản trong kho, đặc điểm kho lạnh (như kho lạnh để phân phối, trung chuyển, chế biến hoặc thương nghiệp…).
Xác định dung tích của kho lạnh
E = V.gv (1)
- V – Thể tích kho lạnh (m³)
- gv – Định mức chất tải thể tích (t/m³)
Từ dung tích kho lạnh đã cho cũng có thể tính thể tích kho lạnh một cách dễ dàng từ biểu thức 1.
Xác định diện tích chất tải của buồng lạnh
F = V/h
- F – Diện tích chất tải hoặc diện tích hàng chiếm trực tiếp (m²)
- h – Chiều cao chất tải (m)
Chiều cao chất tải là chiều cao lô hàng chất trong kho, chiều cao này phụ thuộc vào bao bì đựng hàng, phương tiện bốc xếp. Chiều cao h có thể tính bằng chiều cao buồng lạnh trừ đi phần lắp đặt dàn lạnh treo trần và khoảng không gian cần thiết đế chất hàng và dỡ hàng. Kho lạnh một tầng có chiều cao 6m thì chiều cao chất tải có thế tới 5m.
Xác định tải trọng của nền và trần
Được tính toán theo định mức chất tải và chiều cao chất tải của nền với giá treo hoặc móc treo vào trần.
gF ≥ gv.h
gr – Định mức chất tải theo diện tích, (t/m³)
Xác định diện tích lạnh cần xây dựng
F1 = F/βF
- F1 – Diện tích lạnh cần xây dựng, (m²)
- βF – Hệ số sử dụng diện tích các buồng chứa, tính cả đường đi và các diện tích lắp đặt thiết bị như dàn bay hơi, quạt. βF phụ thuộc diện tích buồng được tính theo bảng sau
Bảng – Hệ số sử dụng diện tích theo buồng
Diện tích buồng lạnh, m² | βF |
| Đến 20 | 0,50 – 0,60 |
| Từ 20 đến 100 | 0,70 – 0,75 |
| Từ 100 đến 400 | 0,75 – 0,80 |
| Hơn 400 | 0,80 – 0,85 |
Qua bảng ta có thể thấy buồng càng rộng, hệ số sử dụng diện tích càng lớn vì có thể bố trí hợp lý hơn các lối đi, các lô hàng và các thiết bị.
Xác định số lượng buồng lạnh cần xây dựng
Z = F1/f
f – Diện tích buồng lạnh quy chuẩn đã chọn qua các hàng cột kho. (m²).
Diện tích buồng lạnh quy chuẩn tính theo hàng cột quy chuẩn cách nhau 6m nên f cơ sở là 36 m². Các diện tích quy chuẩn chỉ khác nhau là bội số của 36. Trong khi tính toán, diện tích ban đầu có thể lớn hơn từ 10% đến 15% khi chọn z là số nguyên.
Xác định diện tích lạnh phụ trợ
Diện tích lạnh phụ trợ bao gồm hành lang, buồng tháo và chất tải, buồng kiểm nghiệm sản phẩm, buồng chứa phế phẩm và kể cả buồng kết đông của kho lạnh phân phối.
Xác định số buồng lạnh thực tế
Sau khi thiết kế, nếu số lượng buồng lạnh khác với tính toán do sử dụng diện tích quy chuẩn/cần phải tính lại dung tích quy ước thực của kho:
E1 = E.(Z1/Z)
Z1 – Số lượng buồng lạnh thực tế được xây dựng.
Ví dụ 1
Xác định diện tích của buồng lạnh để bảo quản dài ngày thịt thăn dạng bánh 0,5kg. Diện tích buồng phụ thuộc vào phương pháp xếp hàng.
Buồng được bố trí trong kho lạnh một tầng, chiều cao kho đến xà ngang là 6m, mạng lưới cột 6 x 12 = 72 m².
Dung tích buồng 250 tấn sản phẩm cả bì.
Phương án 1:
Thịt thăn được đựng trong các ngăn gỗ kích thước 440 x 310 x 250 mm. Mỗi chồng xếp cao 8 ngăn, chiều cao xếp hàng là 2 m.
Tiêu chuẩn chất tải là 0,425 t/m³.
- Thể tích buồng: V = 250/0,425 = 590 m³.
- Diện tích chất tải: F = 590/2 = 295 m².
- Tải trọng trên 1m² diện tích nền buồng: 0,425.2 = 0,85 t/m³ (nhỏ hơn mức cho phép)
- Diện tích lạnh cần thiết: F1 = 295/0,7 = 421 m²
- Số lượng buồng lạnh: Z = 421/72 = 5,85
- Có thể chọn Z = 6, cỡ kho lạnh sẽ bằng 18 m x 24 m. Kích thước cuối cùng của kho lạnh sẽ phụ thuộc vào việc chọn các buồng phụ trợ.
- Dung tích thực tế của buồng lạnh sẽ là: Et = 250. (6/5,58) = 256 t.
Phương án 2
Thịt thăn được đóng vào trong các ngăn, cứ 25 ngăn xếp thành một thùng. Mỗi chồng hàng gồm 4 thùng vái chiều cao tổng cộng 3,45m.
Tiêu chuẩn chất tải là 0,425 t/m³.
Hệ số sử dụng diện tích βF = 0,7
- Thể tích buồng: V = 250/0,46 = 601 m³.
- Diện tích chất tải: 601/3,45 = 174 m².
- Tải trọng trên 1m² diện tích nền buồng: 0,416.3,45 = 1,44 t/m³ (nhỏ hơn mức cho phép)
- Diện tích lạnh cần thiết: F1 = 174/0,7 = 249 m².
- Số lượng buồng lạnh (mỗi buồng 72 m²): Z = 421/72 = 5,85
- Có thể chọn Z = 4, cỡ kho lạnh sẽ bằng 12 m x 24 m.
- Dung tích thực tế của buồng lạnh sẽ là: Et = 250. (4/5,58) = 289 t
Có thể tính diện tích lạnh phải xây dựng thực tế trực tiếp từ biểu thức:

Dung tích của các buồng lạnh trang bị giá treo xác định theo định mức chất tải gl = 0,25 t/m theo chiều dài l của giá.
Diện tích buồng gia lạnh và buồng kết đông thịt có thể tính theo biểu thức:

- M – Công suất các buồng gia lạnh và buồng kết đông, t/24h.
- T – Thời gian hoàn thành một mẻ sản phẩm bao gồm thời gian xử lý lạnh, chất tải, tháo tải, phá băng cho dàn lạnh, h.
- gl – Tiêu chuẩn chất tải trên 1m chiều dài giá treo, t/m.
- k – Hệ số tính chuyển từ tiêu chuẩn chất tải trên 1m chiều dài ra 1m² diện tích cần xây dựng: k = 1,2.
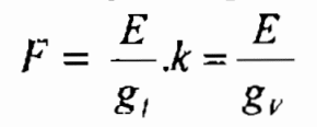
Diện tích buồng bảo quản lạnh thịt treo trên giá xác định theo biểu thức:

Hệ số tính chuyền tải treo theo mét dài sang diện tích m² của buồng lạnh, xác định theo tiêu chuẩn cứ một buồng quy chuẩn 72m², trung bình bố trí được 60m giá treo.
Trong quá trình tính toán có thể phải thay đổi kích thước của buồng kết đông và gia lạnh ngoài ý muốn.
Ví dụ 2
- Xác định diện tích xây dựng của buồng kết đông thịt năng suất 15t/24h.
- Diện tích lạnh cần thiết: F1 = 1536/(0,25.24) = 108 m².
- Số lượng buồng lạnh quy chuẩn: n = 108/72 = 1.5.
Có thể chọn một buồng bằng 1,5 buồng quy chuẩn (hoặc 36 m² x 3 = 108 m²) có chiều rộng 6m và chiều dài 18m. Thời gian hoàn thành một mẻ là 36h ở điều kiện nhiệt độ không khí -30°C, đối lưu không khí cưỡng bức. Nếu thời gian giảm xuống còn 24h nhờ hạ nhiệt độ không khí và tăng tốc độ gió, diện tích buồng giảm còn 72m².
Diện tích nơi tiếp nhận và phân loại sản phẩm có thể tính theo biểu thức:
- M1 – Lượng hàng nhập trong một ngày
- 0,35 – Tiêu chuẩn chất tải trên 1m² diện tích. t/m².
*Nguồn tham khảo: Hướng dẫn thiết kế hệ thống lạnh – Nguyễn Đức Lợi







