Các loại rơ le (relay) điện từ
Mỗi loại rơ le điện từ có chức năng và ứng dụng riêng, được sử dụng để điều khiển và bảo vệ hệ thống điện trong nhiều lĩnh vực khác nhau. Dưới đây là cấu tạo và nguyên lý hoạt động của một số relay điện từ.
Relay điện từ loại 1
Cấu tạo
1- Mạch từ cố định.
2- Lõi thép (nắp)
3- Cuộn dây AC
4- Tiếp điểm.
5- Lò xo kéo.
6- Nguồn cấp điện cho cuộn dây.

Nguyên lý làm việc
Relay điện từ là một loại khí cụ điện được sử dụng để đóng – ngắt các tiếp điểm trong mạch điều khiển – điều khiển hệ thống theo yêu cầu và mục đích sử dụng, như vậy nó đóng vai trò tương đối quan trọng trong quá trình điều khiển hệ thống, đặc biệt là quá trình khởi động của động cơ xoay chiều 1 phase.
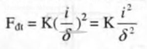
Khi đặt điện áp vào cuộn dây (3) thì trên cuộn dây (3) sẽ sinh ra một lực điện từ có giá trị.

Trong đó: K là hệ số tỷ lệ phụ thuộc vào số vòng dây của cuộn dây (3) phụ thuộc vào cấu tạo của relay điện từ.
Ở chế độ định mức I = Iđm thì lực sinh ra lúc đó có giá trị.
(a)
Ở chế độ có tải dòng điện I tăng có nghĩa là I = Itđ (Itđ – dòng điện tác dụng ) lúc đó lực điện từ sinh ra. Do đó lò xo bị kéo xuống.

Khi Đặt Điện Áp Vào Cuộn Dây (3): Điện áp này làm cuộn dây sinh ra từ trường, tạo ra lực điện từ (F) đủ lớn để kháng lại lực của lò xo (a). Lúc này, nắp (2) vẫn được giữ cố định và không bị hút xuống.
Khi Dòng Điện Đạt Đến Giá Trị Ngưỡng (I = Itđ): Từ trường trong cuộn dây (3) tăng mạnh và lực điện từ sinh ra sẽ vượt qua lực kháng của lò xo (5), khiến lò xo bị nén lại và nắp (2) bị hút xuống, dẫn đến việc đóng các tiếp điểm (4).
Khi Dòng Điện Giảm Xuống (I < I nhỏ): Lực điện từ giảm dần, không còn đủ để kháng lại lực của lò xo. Lúc này, nắp (2) sẽ trở về vị trí ban đầu, các tiếp điểm (4) sẽ mở ra, ngắt mạch điện.
Tính Năng Động: Khi khoảng hở giữa các phần tử giảm (σ giảm), lực hút F càng tăng, dẫn đến việc relay hoạt động mạnh hơn.
Ứng Dụng Rộng Rãi: Relay được cải tiến liên tục và có nhiều chủng loại đa dạng trên thị trường, từ các relay nhỏ dùng trong các mạch điều khiển đơn giản đến các relay phức tạp trong hệ thống công nghiệp.
Ưu điểm: Loại relay này có giá thành rẻ, dễ sử dụng và lắp đặt, đặc biệt hữu ích trong các hệ thống điều khiển tự động.
Relay điện từ loại 2
Relay điện từ là một thiết bị điều khiển điện đơn giản nhưng quan trọng, được ứng dụng rộng rãi trong các hệ thống điều khiển tự động. Dưới đây là mô tả về nguyên lý hoạt động và cấu tạo của relay điện từ:
Nguyên Lý Hoạt Động
- Cuộn Dây (1): Cuộn dây được quấn quanh lõi sắt (2), và khi có điện áp đặt vào, nó sẽ tạo ra từ trường điện từ. Từ trường này là yếu tố chính trong hoạt động của relay, giúp điều khiển sự chuyển động của các phần tử khác trong relay.
- Nắp Từ Động (3): Khi cuộn dây được cấp điện, từ trường sinh ra hút nắp từ động (3) lại, kéo theo các tiếp điểm thay đổi vị trí.
- Lò Xo (4): Lò xo giữ cho nắp từ động và tiếp điểm động (5) ở vị trí ban đầu. Khi cuộn dây chưa được cấp điện, lò xo sẽ giữ tiếp điểm động (5) tì lên tiếp điểm tĩnh (6) và giữ tiếp điểm tĩnh (7) bị hở.
- Khi Có Điện Áp: Khi điện áp đặt vào cuộn dây, nắp từ động (3) bị hút xuống dưới tác dụng của từ trường điện từ. Lúc này, tiếp điểm động (5) sẽ tiếp xúc với tiếp điểm tĩnh (7), trong khi tiếp điểm tĩnh (6) bị hở ra, làm thay đổi trạng thái của mạch điều khiển.

1 – cuộn dây; 2 – lõi sắt; 3 – nắp từ động; 4 – lò xo; 5 – tiếp điểm động; 6,7 – tiếp điểm tĩnh; 8 – chấu cắm
Ba phần chính
Qua phân tích hoạt động của relay điện từ, có thể thấy rằng relay được chia thành ba phần chính với các chức năng khác nhau:
Cơ Cấu Thu:
Đây là cuộn hút điện từ (cuộn dây), có nhiệm vụ nhận tín hiệu điều khiển đầu vào. Khi dòng điện chạy qua cuộn dây, nó sinh ra từ trường điện từ và truyền đến các phần khác của relay. Cuộn hút điện từ có vai trò kích hoạt quá trình tác động của relay khi tín hiệu điện đạt đến ngưỡng xác định.
Cơ Cấu Trung Gian:
Mạch từ là phần trung gian giữa cuộn hút và cơ cấu chấp hành. Mạch từ tạo ra lực hút dựa trên từ trường do cuộn dây sinh ra. Lực này được so sánh với lực đàn hồi của lò xo phản hồi. Nếu lực hút đủ lớn để vượt qua lực lò xo, mạch từ sẽ truyền lực này tới cơ cấu chấp hành, từ đó thay đổi trạng thái của tiếp điểm.
Cơ Cấu Chấp Hành:
Hệ thống các tiếp điểm (thường đóng và thường mở) sẽ thực hiện thao tác đóng hoặc mở mạch điện. Khi có dòng điện tác động vào cuộn dây, tiếp điểm thường mở sẽ đóng lại hoặc tiếp điểm thường đóng sẽ mở ra, qua đó gửi tín hiệu cho mạch điều khiển hoặc thiết bị tương ứng.
Thời Gian Tác Động (ttđ) của Relay
Thời gian tác động của relay được tính từ thời điểm cuộn hút được cấp điện đến khi các tiếp điểm chuyển đổi trạng thái hoàn toàn (tiếp điểm thường mở đóng lại hoặc tiếp điểm thường đóng mở ra). Dựa trên thời gian này, relay có thể được phân loại như sau:
- Relay Không Quán Tính: Thời gian tác động ttđ < 1ms. Relay này phản ứng cực kỳ nhanh, thường được sử dụng trong các hệ thống yêu cầu phản ứng tức thời.
- Relay Tác Động Nhanh: Thời gian tác động ttđ từ 1-100ms. Đây là loại relay có tốc độ phản ứng trung bình, phổ biến trong các hệ thống điều khiển tự động.
- Relay Thời Gian: Thời gian tác động ttđ > 100ms. Relay này được thiết kế để tạo ra sự trì hoãn trong phản ứng, thường dùng trong các ứng dụng đòi hỏi kiểm soát chậm hoặc thời gian trễ.
Relay trung gian
Nhiệm vụ của relay trung gian là khuếch đại các tín hiệu điều khiển, liên kết giữa các phần tử điều khiển khác nhau.
Relay trung gian thường là relay điện từ, số lượng tiếp điểm của relay trung gian thương nhiều hơn các loại relay khác. Relay trung gian có độ phân cách về điện tốt giữa mạch cuộn hút và mạch tiếp điểm.
Cấu tạo

Rơ le trung gian có cấu tạo bao gồm một cuộn hút và mạch tiếp điểm, cùng với vỏ bảo vệ và các chân ra tiếp điểm. Nó đóng vai trò điều khiển trung gian giữa các thiết bị điều khiển trong lĩnh vực tự động hóa và cơ cấu điện tử.
Cấu tạo:
- Cuộn hút (nam châm điện): Gồm lõi thép tĩnh, lõi thép động và cuộn dây. Cuộn dây có thể là cuộn cường độ hoặc cuộn điện áp, hoặc cả hai. Lõi thép động được gắn bởi một lò xo và định vị bằng một vít điều chỉnh.
- Mạch tiếp điểm: Bao gồm tiếp điểm thuận và tiếp điểm nghịch. Tiếp điểm nghịch có chức năng đóng/cắt thiết bị điện tải, được cách ly với cuộn hút.
Nguyên lý hoạt động
Relay trung gian là một thiết bị đóng vai trò chuyển tiếp giữa các hệ thống điều khiển và mạch tải. Khi dòng điện đi qua cuộn dây bên trong relay, nó sẽ tạo ra một từ trường. Từ trường này hút một đòn bẩy hoặc một phần tử cơ khí khác bên trong relay, khiến các tiếp điểm thay đổi trạng thái từ mở sang đóng hoặc ngược lại. Đây là cách mà relay thay đổi trạng thái từ bật (ON) sang tắt (OFF) hoặc ngược lại.
Quá trình hoạt động của relay trung gian
Mạch điều khiển cuộn dây: Dòng điện điều khiển chạy qua cuộn dây bên trong relay. Khi có dòng điện chạy qua cuộn dây, nó sinh ra từ trường hút phần tử cơ khí, làm thay đổi trạng thái của các tiếp điểm.
Mạch điều khiển tiếp điểm: Khi cuộn dây được kích hoạt, các tiếp điểm trong relay đóng hoặc mở, cho phép hoặc ngắt dòng điện đi qua mạch tải. Các tiếp điểm này có thể điều khiển mạch điện với tải lớn hơn mà không ảnh hưởng đến mạch điều khiển chính.
Hai mạch độc lập
Mạch thứ nhất: Là mạch điều khiển cuộn dây, dùng để điều khiển trạng thái của relay bằng cách cấp hoặc ngắt điện qua cuộn dây. Khi có dòng điện qua cuộn dây, từ trường sinh ra sẽ kích hoạt relay.
Mạch thứ hai: Là mạch tiếp điểm, dùng để đóng hoặc mở các mạch tải. Nó sẽ cho phép dòng điện tải đi qua hoặc ngắt dòng điện, tùy thuộc vào trạng thái của cuộn dây.
Thiết kế và số lượng tiếp điểm
Tùy thuộc vào thiết kế của relay, số lượng tiếp điểm có thể thay đổi. Có thể có một hoặc nhiều tiếp điểm, mỗi tiếp điểm có thể là thường mở (NO) hoặc thường đóng (NC):
- Tiếp điểm thường mở (NO): Khi relay không được cấp điện, tiếp điểm này ở trạng thái mở. Khi cuộn dây được kích hoạt, tiếp điểm sẽ đóng.
- Tiếp điểm thường đóng (NC): Khi relay không có điện, tiếp điểm này ở trạng thái đóng. Khi cuộn dây có điện, tiếp điểm sẽ mở ra.
*Nguồn tham khảo: Tự động điều khiển các quá trình nhiệt lạnh – Nguyễn Tấn Dũng, Trịnh Văn Dũng







